Меню
  • Доступність
  • A-
    A+
Подільська районна в місті Києві державна адміністрація
офіційний вебпортал

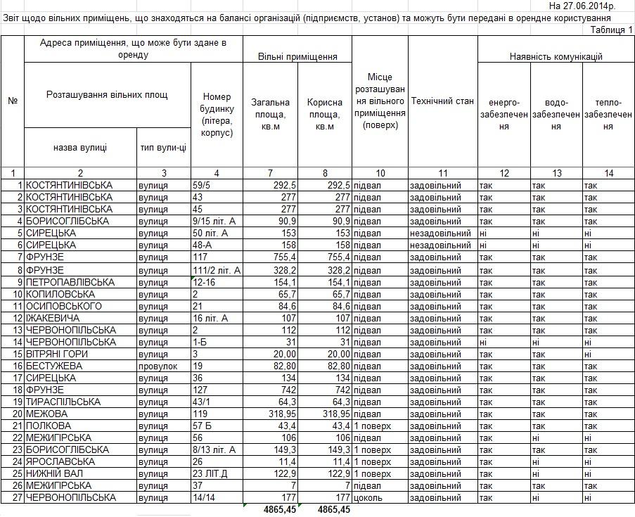
Звіт щодо вільних приміщень, що знаходяться на балансі організацій (підприємств, установ) та можуть бути передані в орендне користування.

Опубліковано 01 липня 2014 року о 10:40

Outdated Browser
Для комфортної роботи в Мережі потрібен сучасний браузер. Тут можна знайти останні версії.
Outdated Browser
Цей сайт призначений для комп'ютерів, але
ви можете вільно користуватися ним.
67.15%
людей використовує
цей браузер
Google Chrome
Доступно для
  • Windows
  • Mac OS
  • Linux
9.6%
людей використовує
цей браузер
Mozilla Firefox
Доступно для
  • Windows
  • Mac OS
  • Linux
4.5%
людей використовує
цей браузер
Microsoft Edge
Доступно для
  • Windows
  • Mac OS
3.15%
людей використовує
цей браузер
Доступно для
  • Windows
  • Mac OS
  • Linux